Mathematical model
As noted, rumor propagation often exhibits higher-order characteristics, relying not only on pairwise interactions but also on complex group-level interactions. In this context, traditional rumor propagation models struggle to adequately capture the higher-order diffusion dynamics of rumors in complex networks. At the same time, individuals exhibit differences in their activity levels, distinguishing them as active or passive. Active individuals prefer to initiate communication, while passive individuals wait to be engaged by active users. Individuals with different activity states occupy distinct roles within the rumor propagation process. However, an individual’s activity state is not static, it evolves through interactions with surrounding individuals. This phenomenon, referred to as activity contagion, significantly influences propagation dynamics, representing a self-adaptive property of the system that is often overlooked in traditional models.
To address this gap, this paper proposes an adaptive higher-order rumor propagation model incorporating activity contagion, with the goal of accurately capturing both the diffusion dynamics of rumors in complex networks and the system’s adaptive processes. The model is schematically illustrated in Fig. 1.

Individuals are categorized into four states: active ignorant (Ia, dark yellow), passive ignorant (Ip, light yellow), active spreader (Sa, dark red), and passive spreader (Sp, light red). a Pairwise interaction-based rumor propagation process. Ia is in contact with Sa and Sp, and it converts spreader with probability β1 and β2. Ip is in contact with Sa and Sp, and it converts spreader with probability β3 and 0. b 2-simplex-based rumor propagation process (blue triangle). In Ia–Sa–Sa, Ia receives the rumor from two 1-faces (links, probability β1) and the 2-face (βΔ1). In Ia–Sa–Sp, Ia receives the rumor from two 1-faces (β1, β2) and the 2-face (βΔ12). In Ia–Sp–Sp, Ia receives the rumor from two 1-faces (β2) and the 2-face (βΔ2). In Ip–Sa–Sa, Ip receives the rumor from two 1-faces (β3) and the 2-face (βΔ3). In Ip–Sa–Sp, since one node is non-infected, Ip can only receive the rumor through the arrow link (β3). c 2-simplex-based activity contagion (green triangle). In Ia–Sa–Sp, Sp is activated via the 2-face (γ1). In Ia–Sp–Sp, Ia is deactivated via the 2-face (w). In Ip–Sa–Sa, Ip is activated via the 2-face (γ2).
The model incorporates multiple propagation mechanisms, such as pairwise interaction propagation and n-simplex-based propagation, to capture the heterogeneous propagation pathways and influence scales observed in real-world networks. For analytical clarity, this study specifically focuses on pairwise interaction propagation and 2-simplex-based propagation. Additionally, across the various types of 2-simplices involved in rumor propagation, both active and passive contagion may take place, governed by the activity states of the individuals. Figure 1(a) illustrates the schematic diagram of individual interaction propagation, Fig. 1(b) depicts the 2-simplex-based rumor propagation process, and Fig. 1(c) presents the 2-simplex-based activity contagion process. All these processes are assumed to occur within a virtual community, where individuals dynamically enter and exit. Specifically, active and passive individuals enter the community at rates Λa and Λp, respectively, while all individuals leave the community at a uniform rate μ. Within the community, rumor-forgetting also occurs. The parameter δ represents the probability of forgetting the rumor. The parameter definitions are summarized in Table 1, and the detailed analysis is provided below.
(1) Rumor propagation rules.
Rumor propagation occurs through two main modes: pairwise propagation and 2-simplex propagation. The specific propagation rules are as follows:
1) Pairwise propagation.
The specific rules for pairwise propagation are as follows:
When an active ignorant (Ia) contacts an active spreader (Sa), it transitions to Sa with a probability of β1.
When an active ignorant (Ia) contacts a passive spreader (Sp), Ia converts to Sa with a probability of β2.
When a passive ignorant (Ip) contacts an active spreader (Sa), Ip converts to Sp with a probability of β3.
Since both Ip and Sp are passive, they do not initiate communication. Therefore, rumors cannot propagate between these two individuals.
Active individuals are more inclined to participate in propagation, such that β1 > β2 > β3. Passive individuals (Ip and Sp) do not actively engage in propagation unless contacted by an active individual. Consequently, the propagation dynamics within the network are influenced by the number of active nodes and the states of their neighbors. The average degree of the 1-simplex is denoted by 〈k〉.
2) 2-Simplex propagation.
2-simplex propagation refers to group-level rumor propagation, where a group of three nodes jointly participates in the propagation process. For analytical simplicity, this study focuses solely on groups composed of three nodes. In this mode, rumors can spread rapidly within a triad, such as a group consisting of Ia–Sa–Sa, as illustrated in Fig. 1(b). The specific propagation rules are as follows:
The likelihood of group propagation is highest when a triad comprises Ia, Sa, and Sa nodes. Specifically, Ia nodes interact with Sa nodes not only via pairwise propagation but also through 2-simplex propagation with a probability of βΔ1, influenced by the combined effect of two Sa nodes. This significantly increases the likelihood of Ia converting into Sa. The average degree of the 2-simplex Ia − Sa − Sa is denoted by 〈kΔ1〉.
When a triad consists of Ia, Sp, and Sa nodes, group propagation occurs, albeit with a lower probability compared to the first scenario. In this case, Ia is influenced jointly by Sa and Sp nodes through 2-simplex propagation with a probability of βΔ12, where βΔ12 < βΔ1 due to the presence of the passive Sp node. The average degree of the 2-simplex Ia − Sa − Sp is denoted by 〈kΔ12〉.
For a triad comprising Ia, Sp, and Sp nodes, 2-simplex propagation occurs with a probability of βΔ2. However, this probability is lower than in the previous two cases due to the absence of active nodes other than Ia. The average degree of the 2-simplex Ia − Sp − Sp is denoted by 〈kΔ2〉.
When a triad consists of Ip, Sa, and Sa nodes, the 2-simplex propagation mechanism is triggered. Under the joint influence of two Sa nodes, Ip converts to Sp with a probability of βΔ3. The average degree of the 2-simplex Ip − Sa − Sa is denoted by 〈kΔ3〉.
In a triad comprising Ip, Sp, and Sa nodes, 2-simplex propagation does not occur because both Ip and Sp are passive. Consequently, only the pairwise interaction mechanism between Ip and Sa operates in this triad.
Similarly, for a triad comprising Ip, Sp, and Sp nodes, neither pairwise propagation nor 2-simplex propagation is triggered.
Compared to pairwise propagation alone, incorporating the 2-simplex propagation mechanism better captures the rapid propagation of rumors within groups through collaborative interactions among multiple nodes. Activity contagion also occurs in activated rumor propagation 2-simplices, triggered when one individual in the triad differs in activity state from the other two. Next, we explore the specific rules governing activity contagion within the context of rumor propagation.
(2) Activity contagion rules.
During the activity contagion process, once a rumor propagation 2-simplex is activated, if any one of the nodes in the triad is in a different activity state than the other two neighbors, the individual will be influenced to change its activity state (node’s self-adaptation). In this case, the activity contagion 2-simplex is triggered, as shown by the green triangle in Fig. 1(c). Specifically,
When nodes in a triad consist of Ia, Sa, and Sa, the activity contagion 2-simplex is not triggered because all the nodes are active individuals.
When nodes in a triad consist of Ia, Sp, and Sa, the activity contagion 2-simplex is triggered, and Sp is influenced by its neighbors, transitioning to an active state with probability γ1.
When nodes in a triad consist of Ia, Sp, and Sp, the activity contagion 2-simplex is triggered, and Ia is influenced by its neighbors, transitioning to an inactive state with probability ω.
When nodes in a triad consist of Ip, Sa, and Sa, the activity contagion 2-simplex is triggered, and Ip is influenced by its neighbors, transitioning to an active state with probability γ2.
When nodes in a triad consist of Ip, Sp, and Sa, the activity contagion 2-simplex is not triggered because the rumor propagation 2-simplex is not activated.
When nodes in a triad consist of Ip, Sp, and Sp, the activity contagion 2-simplex is not triggered because all the nodes are passive individuals.
The activity contagion process further influences the rumor propagation process, forming an interactive co-evolutionary process.
Combining the above analysis of the rumor propagation process and the activity contagion process, the following system of equations can be derived:
$$\left\{\begin{array}{rcl}\frac{d{I}_{ai}(t)}{dt}= {\Lambda }_{a}-{\beta }_{1}{I}_{ai}(t)\sum\limits_{j\in {\varphi }_{i}}{S}_{aj}(t)-{\beta }_{2}{I}_{ai}(t)\sum\limits_{j\in {\varphi }_{i}}{S}_{pj}(t)-{\beta }_{\Delta 1}{I}_{ai}(t)\sum\limits_{\{{j}_{1},{j}_{2}\}\in {\Delta }_{1}}{S}_{aj1}(t){S}_{aj2}(t)\\ \qquad\quad-{\beta }_{\Delta 12}{I}_{ai}(t)\sum\limits_{\{{j}_{1},{j}_{2}\}\in {\Delta }_{12}}{S}_{aj1}(t){S}_{pj2}(t)-(1-\omega ){\beta }_{\Delta 2}{I}_{ai}(t)\sum\limits_{\{{j}_{1},{j}_{2}\}\in {\Delta }_{2}}{S}_{pj1}(t){S}_{pj2}(t)\hfill\\ \qquad\quad-\omega {\beta }_{\Delta 2}{I}_{ai}(t)\sum\limits_{\{{j}_{1},{j}_{2}\}\in {\Delta }_{2}}{S}_{pj1}(t){S}_{pj2}(t)-\mu {I}_{ai}(t)+\delta {S}_{ai}(t),\hfill\\ \frac{d{I}_{pi}(t)}{dt}= {\Lambda }_{p}-{\beta }_{3}{I}_{pi}(t)\sum\limits_{j\in {\varphi }_{i}}{S}_{aj}(t)-(1-{\gamma }_{2}){\beta }_{\Delta 3}{I}_{pi}(t)\sum\limits_{\{{j}_{1},{j}_{2}\}\in {\Delta }_{3}}{S}_{aj1}(t){S}_{aj2}(t)\hfill\\ \qquad\quad-{\gamma }_{2}{\beta }_{\Delta 3}{I}_{pi}(t)\sum\limits_{\{{j}_{1},{j}_{2}\}\in {\Delta }_{3}}{S}_{aj1}(t){S}_{aj2}(t)-\mu {I}_{pi}(t)+\delta {S}_{pi}(t),\hfill\\ \frac{d{S}_{ai}(t)}{dt}= {\beta }_{1}{I}_{ai}(t)\sum\limits_{j\in {\varphi }_{i}}{S}_{aj}(t)+{\beta }_{2}{I}_{ai}(t)\sum\limits_{j\in {\varphi }_{i}}{S}_{pj}(t)+{\beta }_{\Delta 1}{I}_{ai}(t)\sum\limits_{\{{j}_{1},{j}_{2}\}\in {\Delta }_{1}}{S}_{aj1}(t){S}_{aj2}(t)\hfill\\ \qquad\quad+{\beta }_{\Delta 12}{I}_{ai}(t)\sum\limits_{\{{j}_{1},{j}_{2}\}\in {\Delta }_{12}}{S}_{aj1}(t){S}_{pj2}(t)+(1-\omega ){\beta }_{\Delta 2}{I}_{ai}(t)\sum\limits_{\{{j}_{1},{j}_{2}\}\in {\Delta }_{2}}{S}_{pj1}(t){S}_{pj2}(t)\hfill\\ \qquad\quad-(\mu +\delta ){S}_{a}(t)+{\gamma }_{2}{\beta }_{\Delta 3}{I}_{pi}(t)\sum\limits_{\{{j}_{1},{j}_{2}\}\in {\Delta }_{3}}{S}_{aj1}(t){S}_{aj2}(t)\hfill\\ \qquad\quad+{\gamma }_{1}{\beta }_{\Delta 12}{I}_{ai}(t)\sum\limits_{\{{j}_{1},{j}_{2}\}\in {\Delta }_{12}}{S}_{aj1}(t){S}_{pj2}(t),\hfill\\ \frac{d{S}_{pi}(t)}{dt}= {\beta }_{3}{I}_{pi}(t)\sum\limits_{j\in {\varphi }_{i}}{S}_{aj}(t)+(1-{\gamma }_{2}){\beta }_{\Delta 3}{I}_{pi}(t)\sum\limits_{\{{j}_{1},{j}_{2}\}\in {\Delta }_{3}}{S}_{aj1}(t){S}_{aj2}(t)\hfill\\ \qquad\quad-(\mu +\delta ){S}_{pi}(t)+\omega {\beta }_{\Delta 2}{I}_{ai}(t)\sum\limits_{\{{j}_{1},{j}_{2}\}\in {\Delta }_{2}}{S}_{pj1}(t){S}_{pj2}(t)\hfill\\ \qquad\quad-{\gamma }_{1}{\beta }_{\Delta 12}{I}_{ai}(t)\sum\limits_{\{{j}_{1},{j}_{2}\}\in {\Delta }_{12}}{S}_{aj1}(t){S}_{pj2}(t).\hfill\end{array}\right.$$
(1)
Where φi represents the set of neighbors of node i. Δ1 denotes that node i is part of the set of 2-simplices Ia − Sa − Sa, representing active ignorants interacting with two active spreaders. Δ12 denotes that node i is part of the set of 2-simplices Ia − Sa − Sp, representing active ignorants interacting with one active spreader and one passive spreader. Δ2 denotes that node i is part of the set of 2-simplices Ia − Sp − Sp, representing active ignorants interacting with two passive spreaders. Δ3 denotes that node i is part of the set of 2-simplices Ip − Sa − Sa, representing passive ignorants interacting with two active spreaders.
System (1) gives the probabilistic evolution equation of each node at each state. However, an excessive number of nodes may result in a high-dimensional equation, complicating the solution. Therefore, under the assumption of uniform mixing, we employ the mean field method to reduce dimensionality, thereby simplifying the model in a rational manner. Let Ia(t), Ip(t), Sa(t), Sp(t) represent the density of active ignorant, passive ignorant, active spreader, and passive spreader at time t, respectively. The equations by using the mean field method on system (1) at each state over time can be obtained as system (2):
$$\left\{\begin{array}{rcl}\frac{d{I}_{a}(t)}{dt}&=&{\Lambda }_{a}-{\beta }_{1}{I}_{a}(t)\left\langle k\right\rangle {S}_{a}(t)-{\beta }_{2}{I}_{a}(t)\left\langle k\right\rangle {S}_{p}(t)-{\beta }_{\Delta 1}{I}_{a}(t)\left\langle {k}_{\Delta 1}\right\rangle {S}_{a}^{2}(t)\\ &&-{\beta }_{\Delta 12}{I}_{a}(t)\left\langle {k}_{\Delta 12}\right\rangle {S}_{a}(t){S}_{p}(t)-(1-\omega ){\beta }_{\Delta 2}{I}_{a}(t)\left\langle {k}_{\Delta 2}\right\rangle {S}_{p}^{2}(t)\hfill\\ &&-\omega {\beta }_{\Delta 2}{I}_{a}(t)\left\langle {k}_{\Delta 2}\right\rangle {S}_{p}^{2}(t)-\mu {I}_{a}(t)+\delta {S}_{a}(t)\hfill\\ \frac{d{I}_{p}(t)}{dt}&=&{\Lambda }_{p}-{\beta }_{3}{I}_{p}(t)\left\langle k\right\rangle {S}_{a}(t)-(1-{\gamma }_{2}){\beta }_{\Delta 3}{I}_{p}(t)\left\langle {k}_{\Delta 3}\right\rangle {S}_{a}^{2}(t)\hfill\\ &&-{\gamma }_{2}{\beta }_{\Delta 3}{I}_{p}(t)\left\langle {k}_{\Delta 3}\right\rangle {S}_{a}^{2}(t)-\mu {I}_{p}(t)+\delta {S}_{p}(t)\hfill\\ \frac{d{S}_{a}(t)}{dt}&=&{\beta }_{1}{I}_{a}(t)\left\langle k\right\rangle {S}_{a}(t)+{\beta }_{2}{I}_{a}(t)\left\langle k\right\rangle {S}_{p}(t)+{\beta }_{\Delta 1}{I}_{a}(t)\left\langle {k}_{\Delta 1}\right\rangle {S}_{a}^{2}(t)\hfill\\ &&+{\beta }_{\Delta 12}{I}_{a}(t)\left\langle {k}_{\Delta 12}\right\rangle {S}_{a}(t){S}_{p}(t)+(1-\omega ){\beta }_{\Delta 2}{I}_{a}(t)\left\langle {k}_{\Delta 2}\right\rangle {S}_{p}^{2}(t)\hfill\\ &&+{\gamma }_{2}{\beta }_{\Delta 3}{I}_{p}(t)\left\langle {k}_{\Delta 3}\right\rangle {S}_{a}^{2}(t)+{\gamma }_{1}{\beta }_{\Delta 12}{I}_{a}(t)\left\langle {k}_{\Delta 12}\right\rangle {S}_{a}(t){S}_{p}(t)\hfill\\ &&-(\mu +\delta ){S}_{a}(t)\hfill\\ \frac{d{S}_{p}(t)}{dt}&=&{\beta }_{3}{I}_{p}(t)\left\langle k\right\rangle {S}_{a}(t)+(1-{\gamma }_{2}){\beta }_{\Delta 3}{I}_{p}(t)\left\langle {k}_{\Delta 3}\right\rangle {S}_{a}^{2}(t)\hfill\\ &&-(\mu +\delta ){S}_{p}(t)+\omega {\beta }_{\Delta 2}{I}_{a}(t)\left\langle {k}_{\Delta 2}\right\rangle {S}_{p}^{2}(t)\hfill\\ &&-{\gamma }_{1}{\beta }_{\Delta 12}{I}_{a}(t)\left\langle {k}_{\Delta 12}\right\rangle {S}_{a}(t){S}_{p}(t).\hfill\end{array}\right.$$
(2)
Analytical derivations
In this subsection, we derive the basic reproduction number and equilibrium points of system (2). By applying the next-generation matrix method33, we derive the basic regeneration number is
$${R}_{0}=\rho \left(F{V}^{-1}\right)=\frac{{\beta }_{1}{\Lambda }_{a}\langle k\rangle +\langle k\rangle \sqrt{{\beta }_{1}^{2}{\Lambda }_{a}^{2}+4{\beta }_{2}{\Lambda }_{a}{\beta }_{3}{\Lambda }_{p}}}{2(\mu +\delta )\mu }.$$
(3)
Where F and V are respectively the Jacobian matrices of new infection terms and transition terms, evaluated at the rumor-free equilibrium. Let the right side of the system (2) be equal to 0 to get the rumor-free equilibrium \({E}_{0}=\left(\frac{{\Lambda }_{a}}{\mu },\frac{{\Lambda }_{p}}{\mu },0,0\right)\) and the rumor prevalence equilibrium \({E}_{* }=\left(\frac{{\Lambda }_{a}+\delta {S}_{a}^{* }}{{\phi }_{1}({S}_{a}^{* },{S}_{p}^{* })},\frac{{\Lambda }_{p}+\delta {S}_{p}^{* }}{{\phi }_{2}({S}_{a}^{* },{S}_{p}^{* })},{S}_{a}^{* },{S}_{p}^{* }\right)\) of the system. Where
$${\phi }_{1}({S}_{a}^{* },{S}_{p}^{* })= \, {\beta }_{1}\langle k\rangle {S}_{a}^{* }+{\beta }_{2}\langle k\rangle {S}_{p}^{* }+{\beta }_{\Delta 1}\langle {k}_{\Delta 1}\rangle {S}_{a}^{* 2} \\ +{\beta }_{\Delta 12}\langle {k}_{\Delta 12}\rangle {S}_{a}^{* }{S}_{p}^{* } +{\beta }_{\Delta 2}\langle {k}_{\Delta 2}\rangle {S}_{p}^{* 2}+\mu .$$
(4)
$${\phi }_{2}({S}_{a}^{* },{S}_{p}^{* })={\beta }_{3}\langle k\rangle {S}_{a}^{* }+{\beta }_{\Delta 3}\langle {k}_{\Delta 3}\rangle {S}_{a}^{* 2}+\mu .$$
(5)
The rumor-free equilibrium point E0 is locally asymptotically stable when R0 <1. And the rumor-free equilibrium point E* is locally asymptotically stable when R0 >1. Detailed proofs are provided in the “Supplementary Note 1″ section of the Supplementary Information.
Numerical simulations
In this subsection, we employ simulation procedures to validate the above analytical derivations by numerically solving the ordinary differential equations of system (2) using the Runge-Kutta method. Source data for all main figures are provided in Supplementary Data.
(1) The effect of activity contagion parameters on rumor propagation.
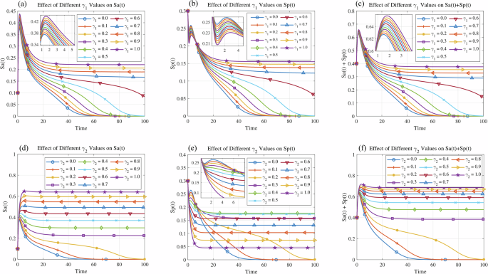
In the higher-order rumor propagation model, the active contagion probabilities γ1 and γ2, as well as the passive contagion probability ω, are critical parameters that influence state transitions among individuals. Therefore, we first simulated the effects of γ1, γ2, and ω on the densities of active spreaders (Sa) and passive spreaders (Sp), as shown in Figs. 2–3. The relevant parameter settings are presented in Supplementary Table S1.

The bifurcation behavior is influenced by the active contagion probabilities γ1 and γ2, within the Ia–Sa–Sp and Ip–Sa–Sa 2-simplex. System parameters for (a−c) are set as γ2 = 0.1 and ω = 0.1, while for (e–f) use γ1 = 0.1 and ω = 0.1. Other parameters are listed in Supplementary Table S1. Definitions of all quantities are provided in Table 1. The insets show magnified views of the early-stage dynamics to highlight transient behaviors. Curves depict how the densities of spreaders evolve over time for different values of γ1 and γ2. Dark blue circles: γ1 = γ2 = 0, Orange vertical lines: γ1 = γ2 = 0.1, Yellow stars: γ1 = γ2 = 0.2, Purple squares: γ1 = γ2 = 0.3, Green diamonds: γ1 = γ2 = 0.4, Light blue crosses: γ1 = γ2 = 0.5, Red downward triangles: γ1 = γ2 = 0.6, Dark blue upward triangles: γ1 = γ2 = 0.7, Orange leftward triangles: γ1 = γ2 = 0.8, Yellow rightward triangles: γ1 = γ2 = 0.9, Purple pentagrams: γ1 = γ2 = 1. Bifurcations occur near γ1 ≈ 0.65 and γ2 ≈ 0.35, respectively, where the system transitions from a rumor-free equilibrium to a rumor-prevalent equilibrium, highlighting its nonlinear nature. This transition is more sensitive to γ2 compared to γ1, as it directly influences passive ignorants (Ip), making it a key driver of large-scale rumor outbreaks. Panels (a), (c), (d) and (f): The densities of active spreaders (Sa) and total spreaders (Sa + Sp) increase with γ1 and γ2, indicating enhanced rumor diffusion and more efficient spreader activation. Panel (b): The density of passive spreaders (Sp) follows a non-monotonic trend, initially decreasing due to rapid activation, then temporarily rebounding before stabilizing. Panel (e): The density of passive spreaders (Sp) decreases as γ2 increases, due to the accelerated conversion of passive ignorants to active spreaders.

The effect of passive contagion probability ω on rumor propagation dynamics is analyzed within the Ia–Sp–Sp 2-simplex. System parameters are set as γ1 = 0.1 and γ2 = 0.1, with other parameters given in Supplementary Table S1. The insets show magnified views of the early-stage dynamics to highlight transient behaviors. Curves depict how the densities of spreaders evolve over time for different values of ω. Dark blue circles: ω = 0, Orange vertical lines: ω = 0.1, Yellow stars: ω = 0.2, Purple squares: ω = 0.3, Green diamonds: ω = 0.4, Light blue crosses: ω = 0.5, Red downward triangles: ω = 0.6, Dark blue upward triangles: ω = 0.7, Orange leftward triangles: ω = 0.8, Yellow rightward triangles: ω = 0.9, Purple pentagrams: ω = 1. Panel (a): The density of active spreaders (Sa) decreases as ω increases, indicating that higher ω accelerates the transition from active to passive states, thereby reducing the density of active spreaders. Panel (b): The density of passive spreaders (Sp) exhibits a positive correlation with ω in the early stages, reaching a higher peak due to rapid accumulation. However, its decay rate after the peak is also negatively correlated with ω, suggesting a faster depletion of passive spreaders at high ω values. Panel (c): The total spreader density (Sa + Sp)decreases with ω, further confirming that passive spreaders contribute less to long-term rumor diffusion.
We first analyze the effect of the active contagion probability γ1 and γ2 on the dynamics of rumor propagation. Figure 2(a)–(c) illustrate that when γ1 is below 0.6, the system converges to a rumor-free equilibrium, where the densities of both active and passive spreaders are zero, effectively inhibiting rumor propagation. As γ1 increases, the system gradually transitions to a rumor-prevalent equilibrium, marked by widespread and persistent rumor diffusion, accompanied by substantial increases in the densities of both active and passive spreaders. This suggests the presence of a bifurcation point near γ1 = 0.6, where the system shifts from a rumor-free stable state to a rumor-prevalent stable state. The system shows high sensitivity to parameter variations with γ1 in the critical range of [0.6, 0.7], demonstrating abrupt transitions from a rumor-free equilibrium to a rumor-prevalent equilibrium. This abrupt state change emphasizes the system’s nonlinear nature, suggesting that small changes in parameters near the critical threshold can trigger substantial shifts in system behavior.
In Fig. 2(a) and (c), both the density of active spreaders (Sa) and the total spreader density exhibit a positive correlation with γ1. This suggests that as γ1 increases, the intensity and efficiency of individual interactions during rumor propagation are enhanced, resulting in a broader scale of rumor diffusion. An increase in γ1 accelerates the conversion of passive spreaders into active spreaders, thereby amplifying the prevalence of rumors. In Fig. 2(b), the density of passive spreaders (Sp) follows a non-monotonic trend, initially decreasing, rising temporarily, and eventually stabilizing. The peak value is negatively correlated with γ1, whereas the steady-state value is positively correlated. This behavior can be explained as follows: in the early stages of rumor propagation, a higher γ1 leads to a rapid conversion of passive spreaders into active spreaders, resulting in a temporary decrease in Sp. Subsequently, as the overall propagation scale increases, Sp temporarily rebounds before stabilizing. Figure 2(d)–(f) illustrates the effect of the active contagion probability γ2 within the 2-simplex structure Ip − Sa − Sa on the dynamics of rumor propagation. It can be seen a clear bifurcation phenomenon emerges within the critical range of γ2 between [0.3, 0.4], marking a transition from a rumor-free equilibrium to a rumor-prevalent equilibrium. Notably, the critical threshold of γ2 is lower than that of γ1, indicating heightened system sensitivity to variations in γ2. Since γ1 influences passive spreaders (Sp) while γ2 acts directly on passive ignorants (Ip), this emphasizes that interventions targeting the source of propagation (Ip) are more effective in rapidly driving system state transitions
The results further demonstrate a positive correlation between γ2 and both the active spreader density (Sa) and the total spreader density (Sa + Sp). This positive correlation arises because an increase in γ2 accelerates the conversion of passive ignorants (Ip) into active spreaders (Sa), significantly boosting the active spreader population and, consequently, the overall scale of rumor propagation. Conversely, the passive spreader density (Sp) exhibits a negative correlation with γ2. This is primarily attributed to γ2’s direct effect on passive ignorants (Ip), which accelerates their transition to active spreaders (Sa), thereby reducing both the accumulation rate and the relative proportion of passive spreaders (Sp).
In conclusion, the active contagion probability γ1 and γ2 are two crucial parameters influencing the system’s state transitions in rumor propagation. Their critical threshold determines the bifurcation behavior from a rumor-free state to a rumor-prevalent state. These findings underscore that increasing γ1 and γ2 is particularly effective in promoting the growth of active spreaders and intensifying rumor propagation. From a management perspective, prioritizing the early-stage transition of passive individuals to active spreaders is critical during rumor propagation. Timely interventions to curb this critical conversion process can effectively mitigate rumor outbreaks and diffusion. Furthermore, implementing tailored control strategies based on specific propagation stages and population characteristics can enhance management efficiency while minimizing intervention costs.
Then, we analyze the effect of the passive contagion probability (ω) in the 2-simplex Ia − Sp − Sp on the dynamics of rumor propagation. As illustrated in Fig. 3. The results indicate that the densities of active spreaders (Sa) and total spreaders (Sa + Sp) are negatively correlated with ω. This phenomenon is primarily attributed to an increase in ω, which accelerates the transition of active individuals to passive ones, thereby reducing the number of active spreaders in the system.
Simultaneously, the peak density of passive spreaders (Sp) exhibits a positive correlation with ω. Specifically, a higher ω facilitates a greater conversion of active individuals to the passive state, leading to a rapid accumulation of passive spreaders and a higher peak density during the early stages. However, the rate of decline of Sp after reaching its peak is negatively correlated with ω. This implies that at higher ω values, although passive spreaders accumulate rapidly, they also decay more quickly, ultimately exerting a smaller long-term impact on rumor diffusion.
These findings suggest that even at a high passive contagion probability ω, the presence of passive spreaders does not substantially contribute to the long-term propagation of rumors. This observation further confirms the dominant role of active spreaders in the rumor propagation process, highlighting that the sustained spread and diffusion of rumors are primarily driven by the dynamic characteristics of active spreaders.
Therefore, in managing rumors, effective interventions should prioritize the active spreader population to disrupt core pathways of rumor diffusion and improve management efficacy. Furthermore, while passive spreaders may exert a short-term influence, their overall contribution to system dynamics remains relatively limited. Hence, optimizing resource allocation to minimize management costs presents a viable and efficient strategy. In practice, active spreaders can be identified on online platforms through real-time monitoring of user activity patterns, such as frequent reposting, high engagement with unverified content, or rapid content bursts. These indicators can serve as input for machine learning models that classify high-risk users and enable timely, targeted intervention—e.g., temporary content delay or reduced algorithmic amplification. Such measures can help contain diffusion at early stages with minimal resource expenditure.
(2) The effect of initial active proportions on rumor propagation.
To further understand the effect of individual activity levels on rumor propagation, it is essential to investigate how the initial conditions of the system, particularly the initial proportion of active individuals, affect the dynamics of rumor propagation. Active individuals play a crucial role in the dynamics of rumor propagation due to their intrinsic characteristics, such as greater engagement and influence within the system. As a result, the initial proportion of active individuals serves as a critical parameter that substantially influences the dynamics of rumor propagation.
In Fig. 4, we simulate the temporal evolution of the densities of various individual types under different initial proportions of active and passive individuals. It is evident that, for each type (Sa, Sp, and their combined total Sa + Sp), the final stable densities remain consistent across all five scenarios. This indicates that variations in the initial proportions of active and passive individuals do not affect the final steady-state outcomes. However, it is important to note that the initial proportions do influence the dynamics of evolution.

The figure shows the dynamics of active spreaders (Sa), passive spreaders (Sp), and their total (Sa + Sp) over time, for five different initial proportions of active and passive individuals. The initial active proportion ranged from 0.1 to 0.9, with parameters given in Supplementary Table S2. The insets show magnified views of the early-stage dynamics to highlight transient behaviors. Curves are color-coded by initial active proportion: Dark blue circles: 0.1, Orange vertical lines: 0.3, Yellow stars: 0.5, Purple squares: 0.7, Green diamonds: 0.9. a and (b): The final steady-state densities are unaffected by the initial proportions, but the evolution dynamics differ. Panel (c): A higher initial proportion of active individuals results in a quicker rise and higher peak of the total spreader density. When the active proportion is low, the density may initially decline before stabilizing.
For the total density of spreaders, a larger initial proportion of active individuals results in a more rapid increase in the proportion of active spreaders and a higher peak value, as shown in Fig. 4(c). When the initial proportion of active individuals is particularly low, such as 0.1, the spreader density may first decline to a minimum before eventually rising to a stable state. This suggests that the initial proportion of active individuals is a crucial factor in shaping the dynamics of rumor propagation.
From a management perspective, these findings suggest that interventions aimed at modifying the proportion of active individuals in a population—such as reducing the number of active spreaders or delaying their activation—could be a critical strategy in controlling the spread of rumors. Early management efforts to mitigate the influence of active individuals may help prevent the rapid escalation of rumor propagation, thereby emphasizing the importance of timely and targeted interventions to prevent the widespread diffusion of false information. To operationalize this, platforms may implement mechanisms that slow the rate at which content from suspected active spreaders is shown to others, especially during early diffusion stages. For instance, a temporary “quarantine” period for rapidly spreading content, during which the platform can assess its reliability, may delay activation effects. While such interventions can effectively reduce viral misinformation, care must be taken to ensure that legitimate content is not disproportionately delayed, preserving a balance between control and information freedom.
(3) The effect of the 2-simplexes on the dynamics of rumor propagation.
To better understand the propagation dynamics, the effects of key parameters in 2-simplexes on the dynamics of rumor propagation are simulated next. These parameters include the average degree of the 2-simplex, which reflects connectivity in group-based interactions, and can represent typical closed communication circles, such as family chat groups, class groups, or work-related communities. A higher average degree suggests a greater chance for information reinforcement through group discussion, which intensifies the spread of rumors due to repeated exposure and trust-based sharing. The higher-order propagation rate captures how likely a piece of information spreads within these tightly-knit groups, beyond standard pairwise links. Socially, this rate reflects the psychological tendency of individuals to conform to group opinions—a phenomenon widely observed in echo chambers and small online communities. When group members simultaneously endorse a rumor, individuals are more inclined to believe and forward it. Additionally, the activity contagion probability, representing the likelihood of a node transitioning between active and passive states, models the social activation process—how users become engaged in spreading information due to peer influence. In real networks, user engagement is not static; users may be influenced by the behavior of their neighbors, trending topics, or emotional contagion, and thus switch between active participation and passive observation. This dynamic is especially relevant in social media environments where attention and participation fluctuate rapidly.
To quantitatively assess the roles of these parameters, we conduct sensitivity analyses focusing on their impact on the temporal evolution of rumor spread. This allows us to evaluate how small changes in parameter values may affect the intensity, duration, and final reach of a rumor. The remaining parameters are set based on prior literature and empirical studies, as detailed in Supplementary Table S3 and S417,21.
In the 2-simplex structure Ia–Sa–Sa, all individuals are active, implying that active contagion does not occur. Figure 5 illustrates the steady-state distributions of active spreader density (Sa), passive spreader density (Sp), and total spreader density (Sa + Sp) under varying higher-order propagation probabilities (βΔ1) and average degrees (〈kΔ1〉) of the 2-simplex structure. A comparative analysis of three different pairwise propagation probabilities (β1 = 0.04, 0.2, 0.8) reveals the regulatory role of β1 in rumor propagation dynamics.

This figure illustrates the steady-state densities of active spreaders (Sa), passive spreaders (Sp), and total spreaders (Sa + Sp) for different pairwise propagation probabilities (β1 = 0.04, 0.2, 0.8), higher-order propagation probabilities (βΔ1), and average degrees (〈kΔ1〉). Parameters are listed in Supplementary Table S3. Panels (a), (d), and (g): At low pairwise propagation probability (β1 = 0.04), a phase transition occurs, indicating that higher-order propagation structures are critical for initiating rumor spread. Panels (b), (e), (h), and (c), (f), (i): As β1 increases (β1 = 0.2 and β1 = 0.8), the phase transition disappears, and pairwise interactions dominate, with higher values of β1, βΔ1, and 〈kΔ1〉 increasing the spread. Color intensity represents the steady-state density and ranges from 0 (dark blue) to 0.5 (dark red).
Under a low pairwise propagation probability (β1 = 0.04, Fig. 5(a), (d), (g)), rumor propagation exhibits a pronounced phase transition. This indicates that when β1 is low, rumor propagation can only occur if the higher-order propagation probability (βΔ1) and the corresponding average degree (〈kΔ1〉) of the higher-order structure reach critical thresholds. This phenomenon highlights the pivotal role of higher-order propagation structures in initiating rumor propagation under low β1 conditions.
In contrast, under higher pairwise interaction probabilities (β1 = 0.2 and β1 = 0.8, Fig. 5(b), (e), (h), and Fig. 5(c), (f), (i), the phase transition phenomenon gradually disappears. In these scenarios, rumor propagation can occur without requiring βΔ1 or 〈kΔ1〉 to reach high thresholds, indicating that pairwise interactions dominate the propagation process. Notably, increases in the pairwise propagation probability (β1), higher-order propagation probability (βΔ1), and the average degree of higher-order structures (〈kΔ1〉) all significantly enhance the scale of rumor propagation. The incorporation of higher-order propagation mechanisms reduces the system’s propagation threshold, highlighting the significance of nonlinear effects.
In practical scenarios, the following strategies can be considered to control rumor diffusion. Firstly, reducing higher-order propagation probability (βΔ1), for instance, by limiting the frequency of three-body interactions. Secondly, restricting the formation of higher-order structures by lowering the average degree of the network (〈kΔ1〉). Thirdly, intervening in both pairwise and higher-order propagation mechanisms by implementing integrated measures to suppress the scale of rumor propagation. Although direct manipulation of network topology is challenging in real-world settings, platforms can implement analogous measures. For example, by limiting algorithmic recommendations that form tightly-knit interaction groups (triads), the effective average degree of rumor-prone structures can be reduced.
Next, in the 2-simplex structures Ia − Sa − Sp, Ia − Sp − Sp, and Ip − Sa − Sa, both rumor higher-order propagation and activity contagion processes play a role. Figure 6 illustrates the interaction effects of higher-order propagation probability, activity contagion probability, and average degree on the dynamics of rumor propagation. Specifically, Fig. 6(a)–(c) correspond to the Ia − Sa − Sp structure, (d)-(f) to Ia − Sp − Sp, and (g)-(i) to Ip − Sa − Sa.

The scatter plots visualize the steady-state densities of active spreaders (Sa), passive spreaders (Sp), and total spreaders (Sa + Sp). The color indicates the steady-state values of the state variables. Panels (a)−(c): Ia − Sa − Sp 2-simplex. Panels (d)−(f): Ia − Sp − Sp 2-simplex. Panels (g)−(i): Ip − Sa − Sa 2-simplex. Other parameters are given in Supplementary Table S4. Color intensity represents the steady-state density and ranges from 0 (dark blue) to 0.8 (dark red). It can be seen that there is an obvious critical threshold for βΔ12, βΔ2, βΔ3. The critical threshold of βΔ3 decreases dynamically as 〈kΔ3〉 and γ2 increase. Once βΔ12, βΔ2, and βΔ3 surpass the critical threshold, the impact of higher-order propagation mechanisms intensifies, significantly boosting the total spreader density. The active contagion probability (γ1, γ2), average degree, and higher-order propagation rate exhibit a synergistic effect, collectively amplifying rumor propagation. In contrast, the passive contagion probability (ω) has the opposite effect, restraining the overall spread.
Figure 6(a)–(c) reveal that βΔ12 exhibits a distinct critical threshold. When βΔ12 is minimal, the impact of higher-order propagation mechanisms is limited, and the dynamics are predominantly driven by pairwise interactions and alternative higher-order mechanisms. However, as βΔ12 increases and surpasses the threshold, the influence of higher-order propagation mechanisms becomes more pronounced, profoundly transforming the rumor propagation dynamics.
In Fig. 6(a), an increase in βΔ12, γ1, and 〈kΔ12〉 synergistically enhances the active spreader density (Sa). This trend suggests a synergistic effect among these factors: the increase in βΔ12 enhances the probability of higher-order propagation, thereby amplifying the contribution of 2-simplex structures to the propagation dynamics. The rise in 〈kΔ12〉 increases the participation of higher-order structures in the network, facilitating more efficient rumor diffusion. γ1 further accelerates the dynamics by influencing state transitions, particularly the activation of passive spreaders into active ones.
In Fig. 6(b), increases in γ1 and 〈kΔ12〉 marginally suppress the passive spreader density (Sp). This occurs because a stronger active contagion mechanism facilitates the transition of passive spreaders into active ones, thereby reducing the proportion of passive spreaders in the system. In contrast, an increase in βΔ12 indirectly facilitates the increase in Sp by amplifying the role of higher-order propagation mechanisms. These higher-order interactions trigger more transitions to the active spreader state, which subsequently lead to transmission to passive ignorants, thereby increasing Sp.
In Fig. 6(c), increases in βΔ12, γ1, and 〈kΔ12〉 collectively lead to a notable increase in the total spreader density. The interaction among these factors again demonstrates a synergistic effect: larger 〈kΔ12〉 enhances the participation of higher-order structures, thereby improving the overall efficiency of higher-order propagation. Meanwhile, γ1 affects propagation efficiency and system-wide spreading dynamics by expediting Sp-to-Sa transitions. The critical threshold behavior of βΔ12 plays a pivotal role in enhancing propagation efficiency. Once βΔ12 surpasses its threshold, the impact of higher-order propagation mechanisms is rapidly amplified, resulting in a substantial increase in the total spreader density.
The analysis highlights that the emergence of higher-order propagation mechanisms depends on the critical behavior of βΔ12. Effective interventions should focus on identifying potential higher-order propagation pathways and intricate social structures (e.g., tightly connected groups or discussion circles) before the critical threshold is reached. Strategies such as reducing the formation of these network structures (e.g., lowering connection density or curbing the activity levels of influential nodes) can effectively suppress the activation of higher-order propagation mechanisms. Additionally, 〈kΔ12〉 and γ1 directly or indirectly affect propagation efficiency within the system through changes in network structure participation and node state transitions. Therefore, efforts should prioritize identifying and managing active spreaders, such as influential opinion leaders or high-frequency spreaders, to effectively control the scale of rumor propagation.
Figure 6(d)–(f) show that the higher-order propagation probability βΔ2 in 2-simplex structures demonstrates a distinct critical threshold. When βΔ2 is small, the influence of the 2-simplex propagation mechanism is limited, and rumor propagation primarily depends on pairwise interactions and other higher-order propagation processes. However, as βΔ2 increases and surpasses the critical threshold, the role of the higher-order propagation mechanism becomes more pronounced, significantly altering the dynamics of rumor propagation.
In Fig. 6(d), increases in βΔ2, ω, and 〈kΔ2〉 all contribute to a suppression of active spreader density Sa. The increase in βΔ2 amplifies the effect of the 2-simplex propagation mechanism. However, due to the influence of passive contagion during the propagation process, the efficiency of generating active spreaders is inhibited. A higher passive contagion probability ω makes individuals more likely to transition to the passive spreader state instead of becoming active spreaders, thereby reducing the density of Sa. The increase in 〈kΔ2〉 enhances the involvement of higher-order propagation structures in the network, but it also expands the scope of passive contagion, further diminishing the ability of active spreaders to propagate.
In Fig. 6(e), increases in βΔ2, ω, and 〈kΔ2〉 all promote the growth of passive spreader density Sp. This occurs because the simultaneous increases in βΔ2, ω, and 〈kΔ2〉 amplify the role of group interactions during rumor propagation, significantly improving spreading efficiency. As a result, more individuals transition to the passive spreader state through higher-order interactions.
In Fig. 6(f), increases in ω and 〈kΔ2〉 tend to limit the growth of the total spreader density. A higher ω leads to a propagation process that produces more passive spreaders at the expense of active spreaders, which limits the overall increase in total spreader density. Although 〈kΔ2〉 increases the structural complexity of the network, its contribution to the growth of total spreader density is relatively weak due to the dominance of passive contagion. In contrast, increases in βΔ2 promote the growth of total spreader density. As βΔ2 increases, the efficiency of higher-order propagation improves significantly, leading to an expansion of the overall scale of rumor propagation. Notably, once βΔ2 surpasses the critical threshold, the spreading mechanism is rapidly amplified, resulting in a significant increase in total spreader density.
The analysis indicates that the emergence of higher-order propagation mechanisms in 2-simplex structures is critically dependent on the threshold behavior of βΔ2. In practical scenarios, interventions should focus on identifying and disrupting potential higher-order propagation chains or complex social structures (e.g., tightly connected groups or influential discussion circles) before the critical threshold is reached. Strategies such as reducing connection density or limiting the activity of key nodes in these structures can effectively suppress the activation of higher-order propagation mechanisms.
Furthermore, ω and 〈kΔ2〉 exert both direct and indirect influences on propagation dynamics. The parameter ω shifts the system toward dominance by passive spreaders, while 〈kΔ2〉 enhances the involvement of higher-order structures. To control the scale of rumor propagation, efforts should prioritize managing passive contagion by targeting key individuals who frequently transmit rumors. Implementing these targeted interventions can more effectively mitigate the overall impact of rumor spreading.
Figure 6(g)–(i) show that the higher-order propagation probability βΔ3 in 2-simplex structures exhibits a distinct critical threshold. However, unlike the fixed thresholds observed in Fig. 6(a)–(f), the critical threshold of βΔ3 decreases dynamically as 〈kΔ3〉 and γ2 increase. This is because an increase in 〈kΔ3〉 expands the higher-order propagation pathways, enhancing the efficiency of 2-simplex structures in the propagation process. Additionally, an increase in the active contagion probability γ2 strengthens individuals’ willingness and ability to spread rumors, amplifying the influence of higher-order propagation mechanisms through positive feedback effects and consequently lowering the critical threshold.
As shown in Fig. 6(g), increases in βΔ3, γ2, and 〈kΔ3〉 all promote the growth of active spreader density Sa. This trend reflects the combined effects of these parameters in facilitating individuals’ transition into the active spreading state by enhancing the efficiency of higher-order propagation mechanisms and increasing node activity levels.
In Fig. 6(h), increases in βΔ3, γ2, and 〈kΔ3〉 are associated with a reduction in passive spreader density Sp. This occurs because higher active contagion probability γ2 and enhanced higher-order propagation pathways 〈kΔ3〉 facilitate transitions from passive to active states, reducing passive spreader density.
Figure 6(i) indicates that increases in βΔ3, γ2, and 〈kΔ3〉 contribute to a marked increase in the total spreader density. Notably, when βΔ3 surpasses the critical threshold, the propagation dynamics are rapidly intensified, resulting in a substantial increase in the total spreader population.
Given that the critical threshold of βΔ3 dynamically decreases as 〈kΔ3〉 and γ2 increase, it is crucial for managers to actively monitor network complexity and node activity levels to anticipate the activation of higher-order propagation mechanisms. Implementing targeted interventions before the critical threshold is reached can significantly mitigate the scale and speed of rumor propagation.
The analyses of Figs. 5 and 6 reveal that higher-order propagation structures significantly lower the activation threshold for propagation, especially when the average degree of such structures is high. Managers should closely monitor the formation of higher-order structures, such as 2-simplex and 3-simplex structures. By reducing the frequency of triadic interactions and minimizing node density in these structures, managers can effectively delay the outbreak of rumor propagation. In practical applications, real-time detection analytics can be employed to detect the early formation of these structures within communication networks.
Verification on real-world data
To validate and assess the applicability of the proposed rumor propagation model, a real-world dataset is utilized for testing. The dataset captures the spread of information during the COVID-19 pandemic, with a specific focus on the Shuanghuanglian (SHL) event34,35. On January 31, 2020, at 22:46, the official Weibo account Xinhua Viewpoint published a post claiming that the Shanghai Institute of Materia Medica and the Wuhan Institute of Virology had jointly discovered that Shuanghuanglian Oral Liquid (SHL) could inhibit COVID-19. This assertion rapidly gained widespread attention nationwide, fueled by its association with the ongoing public health crisis. The post triggered mass panic-buying of SHL products, leading to significant disruptions in social order and heightened public anxiety.
On February 1, 2020, at 17:58, the CCTV News Weibo account issued a clarifying statement debunking the rumor. To simulate the dynamics of rumor propagation during this event, a dataset comprising 78 time points was selected, capturing the temporal progression of the rumor’s spread. The data, summarized in Table 2, were sourced from the Zhiwei Data platform35.
Since the CCTV News Weibo account debunked the rumor at 17:58 on February 1, 2020, the model fitting is restricted to real data prior to this debunking. However, in order to restore the whole rumor propagation process, we show the complete propagation cycle. To enhance the model’s fitting accuracy, interpolation methods were applied to the SHL dataset to address missing data at certain time points. This preprocessing step ensured that real data were available for all time points, resulting in a total of 1560 interpolated data points, which provided a robust basis for subsequent model fitting.
To optimize the model parameters, deep learning methods were employed in combination with the Sequential Quadratic Programming (SQP) algorithm. SQP is well-suited for solving nonlinear constrained optimization problems due to its iterative approach, which constructs a quadratic approximation of the objective function at each step. By solving a quadratic programming problem iteratively, the algorithm progressively refines the parameter set, minimizing prediction error and converging to the optimal solution.
The optimization process involved iterative updates: first, constructing a quadratic approximation of the objective function; next, solving the quadratic sub-problem to refine the parameters; and finally, adjusting the model based on the updated parameters until convergence. This method offers advantages in both convergence speed and computational precision, making it particularly effective for complex nonlinear models. The optimized parameters obtained through this process are summarized in Table 3.
Finally, the model was evaluated using the optimized parameter set, with the Mean Squared Error (MSE) calculated to assess its fitting performance. The MSE is defined as \(MSE=\frac{1}{n}\mathop{\sum }_{i = 1}^{n}{\left({\hat{S}}_{i}-{S}_{i}\right)}^{2}\), where \({\hat{S}}_{i}\) and Si represent the model’s predicted values and the corresponding real values, respectively, and n is the total number of data points (1560). The MSE provides a quantitative measure of the discrepancy between the model’s predictions and the real data. The resulting MSE value of 0.0121 indicates a strong fit between the model and the observed data.
To further validate the performance of the proposed model, we compare it against two baseline models frequently used in rumor propagation studies: the XYZ-ISR model and the DK model36. As shown in Fig. 7, both the XYZ-ISR and DK models fail to replicate the observed multi-peak dynamics and underestimate the magnitude of the initial and secondary outbreaks. In contrast, the proposed model captures the two-wave propagation pattern with higher fidelity.

Real-world data from the SHL event during the COVID-19 pandemic were used to validate the proposed rumor propagation model, capturing the spread of misinformation following a widely shared post on January 31, 2020, and its debunking by CCTV News at 17:58 on February 1, 2020. The gray dotted line represents the time of the rumor clarification. Since the clarification altered rumor dynamics, the model fitting comparison is restricted to data before this event. The dataset consists of 78 discrete time points, interpolated to 1,560 for continuity. Model parameters (Table 2) were optimized using deep learning and the Sequential Quadratic Programming (SQP) algorithm, yielding an MSE of 0.0121. The figure compares the real data (red circles) with the existing model predictions (blue squares), the XYZ-ISR model predictions (orange triangles), and the DK model predictions (green diamonds). The results show that the real data before the rumor was debunked are highly consistent with the current model. Notably, a bimodal propagation pattern emerges, deviating from conventional unimodal trends.
Quantitatively, the MSE values for the XYZ-ISR and DK models are 0.0175 and 0.0193, respectively—both higher than the 0.0121 obtained by the current model. This superior performance underscores the effectiveness of incorporating higher-order structures and activity contagion mechanisms in capturing real-world rumor dynamics. Notably, a bimodal propagation pattern is observed, which contrasts with the typical unimodal spread seen in prior studies. This multiple peak phenomenon can be attributed to the 2-simplex propagation mechanism, which promotes the recurrence and instability of rumor diffusion, thus giving rise to multiple waves of spread.
link
