Physical networks as network-of-networks | Nature Communications

Physical networks as network-of-networks | Nature Communications

Network-of-networks representation

We aim to describe physical networks embedded in some substrate or medium. In its most general form, the substrate is represented by a graph \(\mathcalS\), and each physical node i is an extended object occupying a subgraph \(\mathcalV_i\subset \mathcalS\). To capture volume exclusion, we do not allow nodes to overlap, i.e., \(\mathcalV_i\cap \mathcalV_j=\varnothing\) for i ≠ j. Two nodes i and j may form a link (i, j) if they occupy adjacent sites in \(\mathcalS\). The physical layout \(\mathcalP\) of the network is a network-of-networks, i.e., it is the union of physical nodes, where each node is a network itself, together with the bonds forming the connections between the nodes (Fig. 1a). The layout \(\mathcalP\) is a physical realization of the combinatorial network \(\mathcalG\), where node i of \(\mathcalG\) corresponds to the physical node \(\mathcalV_i\), and nodes i and j are connected if there is a bond between \(\mathcalV_i\) and \(\mathcalV_j\) in \(\mathcalP\) (Fig. 1b). Though the substrate \(\mathcalS\) can represent any available space, here we focus on substrates that are d dimensional cubic lattices with linear size L and periodic boundary conditions. Note that network representations of this kind are employed in the graph drawing literature with the focus on algorithms that embed a given combinatorial network into \({{{{{{\mathcalS}}}}}}\)16. Here, we are interested in physical networks \(\mathcalP\) growing in \({{{{{{{\mathcalS}}}}}}}\), the emergent relation between \(\mathcalP\) and \(\mathcalG\), and its consequences on the dynamics on the network.

Fig. 1: Network-of-networks representation.
figure 1

a Each physical node \(\mathcalV_i\) is a subgraph of the substrate \({{{{{{{\mathcalS}}}}}}}\). Physical nodes cannot overlap, i.e., \(\mathcalV_i\cap \mathcalV_j=\varnothing\) for i ≠ j. The physical layout \(\mathcalP\) (dashed area) is a network-of-networks: it is the union of physical nodes \({{\mathcalV}}_i\) together with the bonds connecting them. b The combinatorial network \(\mathcalG\) is a coarse-grained representation of \(\mathcalP\) capturing the connections between the nodes without the physical structure.

Network growth

To study the effect of physicality on network evolution, we define a model of network growth relying on the network-of-networks representation. We start with an empty \(\mathcal S\) and we place a single physical node \({{{{\mathcalV}}}_0}\) occupying a subset of the sites. We add the rest of the nodes iteratively: At time step t we add a new node \({{{{{{{{\mathcalV}}}}}}}}_t\) that is seeded at a random unoccupied site and grows until it hits an already existing node \({{{{{{{{\mathcalV}}}}}}}}_s\) and a link (t − s) is formed. The growth of node \({{{{{{{{\mathcalV}}}}}}}}_t\) is driven by some random or deterministic process; and we assume that the physical nodes are characterized by a fractal dimension df [1, d]17,18. We add N physical nodes or until all of \({{{{{{{\mathcalS}}}}}}}\) is occupied; in the latter case we call the physical network saturated.

Since the total volume of the network increases over time, later nodes hit the network at higher rates, and the typical size of nodes decreases. Hence, we expect that nodes added early have a higher degree than nodes added in the final stages of the network evolution, both because they are larger and they have more time to collect connections. This suggests that to analytically characterize the evolution of the physical network two ingredients have to be considered: (i) network growth, i.e., nodes are added sequentially to the system and (ii) externally limited node growth, i.e., the nodes grow until they hit the already existing network. We show that these two ingredients lead to the emergence of power law combinatorial networks with degree exponents γ≤3.

We start the analytical treatment of the model by estimating the probability pij that two randomly placed physical nodes \({{{{{{{{\mathcalV}}}}}}}}_i\) and \({{{{{{{{\mathcalV}}}}}}}}_j\) intersect. If the two boxes containing the physical nodes have side length lilj, respectively, and the larger node \({{{{{{{{\mathcalV}}}}}}}}_i\) intersects the box containing the smaller node \({{{{{{{{\mathcalV}}}}}}}}_j\), then, by dimension count, the two nodes overlap with positive probability if dfd/2. We can tile the lattice with \((L/l_j)^d\) boxes with side length lj, and the number of such boxes intersected by \({{{{{{{{\mathcalV}}}}}}}}_i\) is \(\sim (l_i/l_j)^d_\rmf\). Therefore the intersection probability is

$$p_ij \sim \frac{l_i^d_\rmfl_j^d-d_\rmf}L^d \sim \frac{v_iv_j^d/d_\rmf-1}L^d,$$

(1)

where \(v_i=| {{{{{{{{\mathcalV}}}}}}}}_i| \sim l_i^{d_\rmf}\) is the volume of node i. If, however, df < d/2 and ljliL, then the nodes avoid each other with high probability. In this case, the intersection probability will have the meanfield behavior, well-approximated by the probability of selecting the sites of \({{{{{{{{\mathcalV}}}}}}}}_i\) and \({{{{{{{{\mathcalV}}}}}}}}_j\) uniformly from \({{{{{{{\mathcalS}}}}}}}\), i.e., \(p_ij^{{{{{\rmMF}}}}} \sim v_iv_j/L^d\), which is independent of df and agrees with Eq. (1) for df = d/2.

Using the same box-counting argument that led to Eq. (1), the probability that a node added at time t intersects any existing node s < t is approximately given by \(\sum _s < tp_st=v_t^{d/d_\rmf-1}V_t-1/L^d\), where Vt−1 is the total volume of nodes s < t. A key observation is that the size of node t increases until it hits the existing network, meaning that vt increases until ∑s<tpst ≈ 1, allowing us to estimate the volume of node t as

$$v_t\approx \left(V_t-1/L^d\right)^{-\frac{d_{{{{{{{{\rmf}}}}}}}}}{d-d_{{{{{{{{\rmf}}}}}}}}}}.$$

(2)

Equation (2) allows us to express the evolution of the expected total volume via the recursion Vt+1 = vt+1 + Vt with initial condition V0 = v0. Using a continuous time approximation, we obtain

$$V_t\approx L^d{\left[\fracd{d-d_{{{{{{{{\rmf}}}}}}}}}\fract+cL^d\right]}^{\frac{d-d_{{{{{{{{\rmf}}}}}}}}}d} \sim L^d\left(\fractL^d\right)^{1-d_{{{{{{{{\rmf}}}}}}}}/d},$$

(3)

where c is a constant depending on v0. A natural choice for the latter is that the first node spans the entire available space, i.e., \(v_0 \sim L^{d_{{{{{{{{\rmf}}}}}}}}}\), in which case c is independent of L. Equation (3) predicts that Nsat, the number of nodes when the network saturates, scales as Nsat ~ Ld, meaning that the average node volume 〈v〉 remains constant in the L →  large system limit. Therefore, the physical layout \(\mathcalP\) is optimal in the sense that no physical representation of a combinatorial network of Nsat nodes can fit into a smaller volume than ~ Nsat ~ Ld. It is noteworthy that the model achieves this bound despite the fact that the nodes grow randomly.

In light of Eq. (3), we can now calculate the expected degree of the physical nodes in the combinatorial network \(\mathcalG\). In the continuous time approximation, the volume of the newly added node vt is provided by the time derivative of Vt, i.e., \(v_t \sim \left(t/L^d\right)^{-d_{{{{{{{{\rmf}}}}}}}}/d}\). Hence, following Eq. (1), the expected degree of node t after the addition of N nodes is

$$k_t(N)=1+\fracv_tL^d\sum _s=t+1^Nv_s^{d/d_{{{{{{{{\rmf}}}}}}}}-1} \sim v_t\cdot \left(\fracNL^d\right)^{\fracd{d_{{{{{{{{\rmf}}}}}}}}}},$$

(4)

where the proportionality is valid for tN. This means that the volume occupied by large nodes (i.e., nodes that were added early) in the physical layout is proportional to their degree in the combinatorial network.

We finally calculate the complementary cumulative degree distribution \(P(k)=1-\frac1N\mathop\sum \nolimits_t:k_t\ge k^N1\), finding that P(k) ~ k−(γ−1) with exponent

$$\gamma=1+\fracd{d_{{{{{{{{\rmf}}}}}}}}}.$$

(5)

For dfd < 2df the degree exponent falls in the range 2≤γ < 3. In the mean-field regime, the degree exponent can be obtained by substituting d/df with 2, yielding γMF = 3. Note that the upper critical dimension of the physical network depends on the kinetic growth of the nodes. For example, growing nodes along a straight trajectory in a random direction generates nodes with df = 1; therefore, the networks fall in the mean-field regime dfd/2 even for embedding dimension d = 2.

In the above model, each physical node grows starting from a random location following some growth process. We stress that our calculations hold for a general class of node growth algorithms, the crucial assumption being that if the boxes around two random walk pieces intersect, then with uniformly positive probability the trajectories also intersect, which implies a level of isotropy of node growth. As a counterexample, consider nodes that always grow in one direction along one of the axes. Such nodes will run parallel to each other, avoiding intersection, hence the resulting network will be a collection of disconnected chains. If, however, the nodes grow along straight lines but in random directions, thus restoring isotropy on average, then the resulting network has a power law degree distribution (SI Sec. S1.4).

Numerical simulations

To test our analytical predictions, we numerically generate physical networks where nodes grow according to random walk trajectories. Specifically, we generate nodes using loop-erased random walks (LERWs), i.e., a trajectory that evolves as a simple random walk in which any loop is erased as soon as it is formed19,20,21,22. Here, we focus on the LERW, as it represents a tractable model ofnon-self-intersecting random trajectories with well-understood non-trivial critical properties. Its critical properties are studied both in the mathematics and physics literature23,24,25,26; for example, their fractal dimension in d = 2 is df = 5/422, in d = 3 it is df 1.6236(4)27,28, while its upper critical dimension is du = 4 where df = 2 with a logarithmic correction29. (See “METHODS” for further details.) We remark that our predictions are not specific to LERWs, in Sec. S1 of the Supplementary Information, we study various alternative growth processes.

Knowing the fractal dimensions of LERWs allows us to directly verify the predictions of Eqs. (3)–(5):

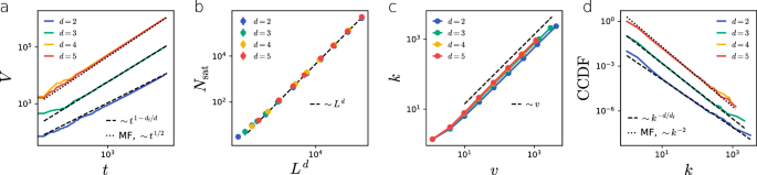
Volume evolution

Equation (3) predicts that the total volume of the physical network evolves as \(V_t \sim t^{1-d_{{{{{{{{\rmf}}}}}}}}/d}\). Figure 2a shows the excellent agreement between the theoretical predictions and numerical simulations. Note that, as expected, in the mean-field regime d≥4 the network volume follows the classic diffusion growth Vt ~ t1/2. Figure 2b further corroborates the predicted scaling of the number of nodes at saturation, i.e., Nsat ~ Ld.

Fig. 2: Evolution of LERW physical networks.
figure 2

a The temporal evolution of the total volume Vt of physical networks, dashed lines represent the theoretical prediction Eq. (3). Networks built from LERWs in dimensions d≥4 fall into the mean-field regime. b The number of physical nodes in the saturated networks is proportional to the volume of the substrate \(| {{{{{{{\mathcalS}}}}}}}|\) irrespective of df and d. c Node degree is proportional to node volume independently from df and d. d The complementary cumulative degree distribution function (CCDF) of the physical networks. Dashed lines indicate the predicted degree exponent γ = 1 + d/df≤3, while the dotted line corresponds to the mean-field behaviour, γMF = 3. Plots (a), (c) and (d) represent measurements of single networks with initial condition \(v_0=L^{d_{{{{{{{{\rmf}}}}}}}}}\) and \(| {{{{{{{\mathcalS}}}}}}}|=10^6\). In (b) markers are an average of 10 independent networks, error bars represent the standard error of the mean. Lines corresponding to different slopes are shifted to increase readability.

Degree-volume correlations

A second prediction is the emergence of degree-volume correlations, capturing the interplay between the physical layout \(\mathcalP\) and the combinatorial network \(\mathcalG\). In particular, Eq. (4) predicts a linear proportionality between the node volume vi and degree ki, and we again find excellent agreement with simulations for all the tested dimensions (Fig. 2c).

Power law emergence

As a final test, we verify the emergence of power law scaling in the degree distribution of the combinatorial networks \(\mathcalG\). As anticipated in Eq. (5), the degree exponent depends on both the dimensionality of the embedding substrate, d, and the fractal dimension of the nodes, df. Figure 2d shows that numerical simulations confirm the predicted degree exponent γ = 1 + d/df for dimensions d < 4, while the mean-field exponent γMF = 3 is found for d≥4. In traditional models of combinatorial networks, heterogeneity typically arises from preferential attachment or some other optimization process. Our model is based on random growth without any explicit preference to create highly connected nodes; therefore, the uniform attachment tree may be considered as the non-physical counterpart of our model. Uniform attachment yields exponential degree distribution, hence the power law distribution observed here is a direct consequence of volume exclusion, which, together with the dynamic network growth, induces effective preferential attachment.

Physical network Laplacian

The layout \(\mathcalP\) is a physical realization of the combinatorial network \(\mathcalG\). Traditional studies of dynamics on physical networks ignore the layout \(\mathcalP\) and focus only on the role of \(\mathcalG\), thus prompting the question: does modeling dynamics on \(\mathcalG\) accurately capture dynamics on physical networks? To explore this, we study the spectral properties of \(\mathcalP\) and show that physical nodes emerge as functional units through timescale separation, yet even in this limit the structure of \(\mathcalP\) continues to affect the dynamics. We focus on the Laplacian spectrum12 since it influences the behavior of several dynamical processes on networks30 including diffusion31,32, synchronization33 and it underlies the definition of several information-theoretic tools to analyze the multiscale functioning of networks10,14,34,35,36,37.

We study the problem by invoking, once again, the network-of-networks representation. In our setup, we assign a weight to each connection in \(\mathcalP\) such that links within physical nodes have weight 1 and links connecting two physical nodes have weight w, capturing that in real physical networks bonds between nodes are often qualitatively different than those within nodes. The weighted Laplacian matrix of \(\mathcalP\) occupying V sites is then \(\bfQ_{{{{{{{{\mathcalP}}}}}}}}=\bfD_{{{{{{{{\mathcalP}}}}}}}}-\bfA_{{{{{{{{\mathcalP}}}}}}}}\), where \({{{{{{{\bfA}}}}}}}_{{{{{{{{\mathcalP}}}}}}}}\) is the V × V weighted adjacency matrix and \({{{{{{{\bfD}}}}}}}_{{{{{{{{\mathcalP}}}}}}}}\) is a diagonal matrix such that \({[{{{{{{{{\bfD}}}}}}}}_{{{{{{{{\mathcalP}}}}}}}}]}_{{{{{\rmss}}}}}=\sum _u{[{{{{{{{{\bfA}}}}}}}}_{{{{{{{{\mathcalP}}}}}}}}]}_{{{{{\rmsu}}}}}\) is the sum of the weights of the links adjacent to site s in \({{{{{{{\mathcalP}}}}}}}\). If we now set w = 0, the network-of-networks falls apart and each physical node becomes a separate connected component, resulting in a block-diagonal Laplacian \(\bfQ_{{{{{{{{\mathcalP}}}}}}}}(0)={{{{\rmdiag}}}}(\bfQ_{{{{{{{{{\mathcalV}}}}}}}}_1},\bfQ_{{{{{{{{{\mathcalV}}}}}}}}_2},\ldots,\bfQ_{{{{{{{{{\mathcalV}}}}}}}}_N})\), where \(\bfQ_{{{{{{{{{\mathcalV}}}}}}}}_i}\) is the Laplacian of the physical node \({{{{{{{{\mathcalV}}}}}}}}_i\). The Laplacian \(\bfQ_{{{{{{{{\mathcalP}}}}}}}}(0)\) has N zero eigenvalues corresponding to the N blocks (i.e., the physical nodes), hence we can assign an eigenvector ui(w = 0) to the i-th node such that \([\bfu_i(0)]_s=1/\sqrtv_i\) if site s is within node i, otherwise \([\bfu_i(0)]_s=0\), where \(v_i=| {{{{{{{{\mathcalV}}}}}}}}_i|\) is the volume of node i. Since linear combinations of these vectors are also eigenvectors, we can write the zero eigenvectors of \(\bfQ_{{{{{{{{\mathcalP}}}}}}}}\) as \(\bfu(0)={{\bfM}}\tilde\bfu\), where M is the N × V membership matrix such that \({[{{{{{{{\bfM}}}}}}}]}_si=1/\sqrtv_i\) if site s is part of node i, otherwise [M]si = 0, and \(\tilde\bfu\) is any normalized N dimensional vector.

We can gain insights about the spectral properties of \(\bfQ_{{{{{{{{\mathcalP}}}}}}}}\) by working in the weak coupling regime w 1 and relying on perturbation theory. Following a treatment similar to the one adopted to study diffusion in multilayer networks38,39,40, we consider w a small perturbation and write \(\bfQ_{{{{{{{{\mathcalP}}}}}}}}(w)=\bfQ_{{{{{{{{\mathcalP}}}}}}}}(0)+w\bfQ_{{{{{{{{\mathcalP}}}}}}}}^\prime \), where \(\bfQ_{{{{{{{{\mathcalP}}}}}}}}^\prime \) is the Laplacian matrix of the subnetwork of \({{{{{{{\mathcalP}}}}}}}\) formed by the bonds between physical nodes. The characteristic equation, up to first order in w, becomes then

$$\beginarrayrcl&&\left(\bfQ_{{{{{{{{\mathcalP}}}}}}}}(0)+\,w{{{\bfQ}}}_{{{{{{{{\mathcalP}}}}}}}}^\prime \right)\left({\bfu}(0)+w{{{{{{{{\bfu}}}}}}}}^\prime \right)\\ &&\approx \left(\lambda (0)+w\lambda ^\prime \right)\left({{{{{{{\bfu}}}}}}}(0)+w{{{{{{{{\bfu}}}}}}}}^\prime \right).\endarray$$

(6)

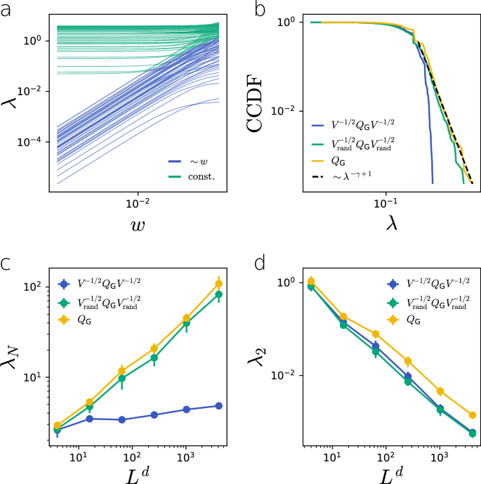
Perturbations around λ(0) = 0 lead to N eigenvalues that are \({{{{\mathcalO}}}}(w)\), while the rest of the eigenvalues are constant in leading order (Fig. 3a). This means that on the 1/w timescale, diffusion-like dynamics on the physical network are captured by the N slow eigenmodes. We obtain these from Eq. (6) (see “METHODS”), yielding

$$\bfV^-1/2{{{{{{{{\bfQ}}}}}}}}_\mathcalG\bfV^-1/2\tilde{{{{{{{{\bfu}}}}}}}}=\lambda ^\prime \tilde{{{{{{{{\bfu}}}}}}}},$$

(7)

where \({{{{{{{{\bfQ}}}}}}}}_\mathcalG\) is the N × N Laplacian matrix of the combinatorial network \(\mathcalG\) and V is an N × N diagonal matrix such that its diagonal elements are [V]ii = vi. We call the volume-normalized Laplacian the physical network Laplacian \({{{{{{{{\bfQ}}}}}}}}_\rmphys=\bfV^-1/2{{{{{{{{\bfQ}}}}}}}}_\mathcalG\bfV^-1/2\).

Fig. 3: Laplacian of LERW physical networks.
figure 3

a For decreasing weight w the eigenvalues of \({{{{{{{{\bfQ}}}}}}}}_{{{{{{{{\mathcalP}}}}}}}}\) separate into two groups: eigenvalues corresponding to the zero eigenmodes of \({{{{{{{{\bfQ}}}}}}}}_{{{{{{{{\mathcalP}}}}}}}}(w=0)\) decay as ~ w (blue), while the rest converge to a constant value (teal). (bd) Comparing the spectrum of the physical Laplacian \({{{{{{{{\bfQ}}}}}}}}_\rmphys=\bfV^-1/2{{{{{{{{\bfQ}}}}}}}}_\mathcalG{{{{{\bfV}}}}}^-1/2\), the randomized physical Laplacian \({{{{{{{{\bfQ}}}}}}}}_\rmphys^\rmrand={{{{{{{{\bfV}}}}}}}}_\rmrand^-1/2{{{{{{{{\bfQ}}}}}}}}_{{\mathcalG}}{{{{{{{{\bfV}}}}}}}}_{{{{\rmrand}}}}^-1/2\), and the Laplacian of the combinatorial network \({{{{{{{{\bfQ}}}}}}}}_{{{{{{{{\mathcalG}}}}}}}}\). b, c The heterogeneous node volume distribution and the correlation between node degree and volume significantly reduce the largest eigenvalues of the spectra. d Heterogeneous node volumes alone explain the reduction of the algebraic connectivity λ2. Eigenvalues are calculated for d = 2 and L = 10 in (a) and L = 100 in (b). In (c) and (d) markers are an average of 10 independent networks, error bars represent the standard error of the mean.

Equation (7) is a key relation for understanding the dynamics on physical networks since it allows to characterize the dynamics on \({{{{{{{\mathcalP}}}}}}}\) on the timescale 1/w in a coarse-grained way: after integrating out the fast modes corresponding to eigenvalues λ(w) w, the state of each physical node \({{{{{{{{\mathcalV}}}}}}}}_i\) is given by a single variable, while the coupling between the nodes is provided by the combinatorial network \({{{{{{{\mathcalG}}}}}}}\). However, the combinatorial Laplacian \({{{{{{{{\bfQ}}}}}}}}_{{{{{{{{\mathcalG}}}}}}}}\) is not sufficient to capture the dynamics, and we must normalize \({{{{{{{{\bfQ}}}}}}}}_{{{{{{{{\mathcalG}}}}}}}}\) by the volume of the nodes, as shown in Eq. (7). This means that physical networks with the same combinatorial network but different layout can have drastically different dynamical properties. For example, if nodes have approximately the same size, i.e., vi ≈ V/N, then the physical layout only affects the overall timescale, otherwise the Laplacian spectrum is determined by \({{{{{{{{\bfQ}}}}}}}}_{{{{{{{{\mathcalG}}}}}}}}\). If, however, node sizes are heterogeneously distributed, normalizing by volume will also have a heterogeneous effect on the eigenvalues.

Application to the physical network growth model

We showed above that physical networks generated by our network growth model are characterized by heterogeneous node-volume distribution and proportionality between the degree and the volume of nodes (Fig. 2). To probe the effect of this emergent correlation, we shuffle the volume of the nodes of a LERW physical network to remove the correlation between network and physical structure. We then compare the spectrum of the volume-normalized Laplacian \({{{{{{{{\bfQ}}}}}}}}_{{\rmphys}}={{{{{{{{\bfV}}}}}}}}^-1/2{{{{{{{{\bfQ}}}}}}}}_{{{{{{{{\mathcalG}}}}}}}}{{{{{{{{\bfV}}}}}}}}^-1/2\) to its randomized version \({{{{{{{{\bfQ}}}}}}}}_{{{{{{{{\rmphys}}}}}}}}^{{{{{{{{\rmrand}}}}}}}}={{{{{{{{\bfV}}}}}}}}_{{{{{{{{\rmrand}}}}}}}}^-1/2{{{{{{{{\bfQ}}}}}}}}_{{{{{{{{\mathcalG}}}}}}}}{{{{{{{{\bfV}}}}}}}}_{{{{{{{{\rmrand}}}}}}}}^-1/2\) and to the Laplacian spectrum of the combinatorial network \({{{{{{{{\bfQ}}}}}}}}_{{{{{{{{\mathcalG}}}}}}}}\). Figure 3b shows that the spectrum of \({{{{{{{{\bfQ}}}}}}}}_{{{{{{{{\mathcalG}}}}}}}}\) has a heavy tail characterized by the same γ exponent of Eq. (5), as expected for combinatorial networks with power law degree distributions12. Adding heterogeneous but uncorrelated node sizes does not influence the tail while taking into account the degree-volume correlation of nodes removes the heavy tail and leads to a rapidly decaying spectrum. In power law networks, the eigenvector corresponding to the largest eigenvalue λN of \({{{{{{{{\bfQ}}}}}}}}_{{{{{{{{\mathcalG}}}}}}}}\) is typically concentrated on the node with the largest degree41,42. In our model, the largest degree node also has the largest volume; therefore normalizing by node volume \({{{{{{{{\bfV}}}}}}}}^-1/2{{{{{{{{\bfQ}}}}}}}}_{{{{{{{{\mathcalG}}}}}}}}{{{{{{{{\bfV}}}}}}}}^-1/2\) significantly lowers λN. Since node sizes are heterogeneously distributed, with high probability, we associate volume ~ 1 to the highest degree node after randomization. Hence, the eigenvalue λN of \({{{{{{{{\bfQ}}}}}}}}_{{{{{{{{\mathcalG}}}}}}}}\) is largely unaffected by the randomized normalization (Fig. 3c). At the other end of the spectrum, controlling the long-time mixing of the dynamics, the eigenvector associated with the algebraic connectivity λ2 typically spans the entire network. Figure 3d shows that taking node volumes into account slows the dynamics down; however, degree-volume correlations do not significantly affect λ2.

Note that positive degree-volume correlations, responsible for the suppression of the tail of the Laplacian spectrum, naturally arise in minimum-volume physical realizations of combinatorial networks. Any combinatorial network \({{{{{{{\mathcalG}}}}}}}\) has many possible physical realizations \({{{{{{{\mathcalP}}}}}}}\), a minimum volume realization is a \({{{{{{{\mathcalP}}}}}}}\) that minimizes the total volume of the network. Consider node \(i\in {{{{{{{\mathcalG}}}}}}}\) with degree ki; in any possible \({{{{{{{\mathcalP}}}}}}}\), the physical realization of node i must have volume at least proportional to ki, otherwise it is unable to support ki connections. Therefore, we expect positive degree-volume correlations in minimum-volume physical layouts. This means that any physical network generation process that minimizes total volume – either explicitly or as an emergent property, like in our model – is characterized by positive degree-volume correlations and hence that the spectrum of Qphys is similarly affected by physicality as in our model.

Real physical networks

We identified the degree-volume correlations and the profile of the Laplacian spectrum as important features of physical networks that can emerge even in the simplest models. To measure these properties, we do not need a detailed description of the layout of a physical system – we only need the combinatorial network and a list of the node volumes, allowing us to describe very large and complex physical networks. As a case study, we investigate a recently published data set providing the three-dimensional layout of more than 20,000 neurons of the brain of an adult fruit fly and the location of more than 13 million synapses connecting them (Fig. 4a)15. Although our simple growth model does not attempt to capture the myriad of complex mechanisms shaping brain development, we find that the fruit fly brain is characterized by similar emergent properties as the model networks. Figure 4b shows, for example, that the multiplicity-weighted node degree, i.e., the number of synapses a neuron has, can be approximated by a power law γff ≈ 2.3, albeit with an exponential cutoff43,44. We also find a strong positive correlation between the weighted degree and the volume of the nodes (Fig. 4c).

Fig. 4: Fruit fly brain network.
figure 4

a The neurons have complex three-dimensional shapes. Two intertwined neurons (teal and yellow) are connected by synapses (red circles). b The tail of the weighted degree distribution can be approximated with the power law with γff ≈ 2.3 with an exponential cutoff. c Similar to the network growth model, the volume of the nodes v is strongly correlated with their degree k. The markers indicate binned degree-volume averages, where the data points are binned based on node volume. The shading represents a kernel density estimate of the joint vk distribution, the dashed line indicates the least squares fit of the power law scaling. d The effect of the node degree-volume correlation on the Laplacian spectrum in the brain network is analog to the effect of correlations in the network growth model. The spectra of Qphys and \({{{{{{{{\bfQ}}}}}}}}_{{{{{{{{\rmphys}}}}}}}}^{{{{{{{{\rmrand}}}}}}}}\) are shifted to the right to allow direct comparison of the tails of the distributions. e, f A visualization of the leading eigenvectors \({\tilde{{{{{{{{\bfu}}}}}}}}}_N\) of the combinatorial and physical Laplacians. The color of each node i corresponds to \(| \tildeu_N(i)|\), the weight of the leading eigenvector at node i, and the size of the nodes is a linear function of their degree. (e) The eigenvector \({\tilde{{{{{{{{\bfu}}}}}}}}}_N^{{{{{{{{\mathcalG}}}}}}}}\) is concentrated on the node with the highest degree \(i_{{{{{{{{\mathcalG}}}}}}}}\). f Due to degree-volume correlations, the \({\tilde{{{{{{{{\bfu}}}}}}}}}_N^{{{{{{{{\rmphys}}}}}}}}\) is concentrated on node iphys, which has the maximum degree-volume ratio in the network. g The weight of the leading eigenvectors \(| \tildeu_N^{{{{{{{{\mathcalG}}}}}}}}(i)|\) and \(| \tildeu_N^{{{{{{{{\rmphys}}}}}}}}(i)|\) decays exponentially as a function of the geodesic distance from \(i_{{{{{{{{\mathcalG}}}}}}}}\) and iphys, respectively. Error bars indicate the standard error of the mean and are typically smaller than the marker size. Node locations in (e) and (f) are generated based on \({{{{{{{\mathcalG}}}}}}}\), and do not correspond to the actual physical locations.

To compare the spectrum of the combinatorial Laplacian \({{{{{{{{\bfQ}}}}}}}}_{{{{{{{{\mathcalG}}}}}}}}\) and the physical network Laplacian \({{{{{{{{\bfQ}}}}}}}}_{{{{{{{{\rmphys}}}}}}}}={{{{{{{{\bfV}}}}}}}}^-1/2{{{{{{{{\bfQ}}}}}}}}_{{{{{{{{\mathcalG}}}}}}}}{{{{{{{{\bfV}}}}}}}}^-1/2\), we measure volume in units such that the mean node volume is unity, i.e., 〈v〉 = 1 (see “METHODS” for further details). Calculating the leading eigenvalues of \({{{{{{{{\bfQ}}}}}}}}_{{{{{{{{\mathcalG}}}}}}}}\) and Qphys, we find that \(\lambda _N^{{{{{{{{\mathcalG}}}}}}}}/\lambda _N^{{{{{{{{\rmphys}}}}}}}}\approx 32.7\), indicating that degree-volume correlations greatly suppress the modes of the dynamics that spread the fastest, similarly to model networks. This is further supported by Fig. 4d, showing again that physicality suppresses the tail of the spectrum.

To further probe the role of degree-volume correlations, we calculate the leading eigenvectors \({\tilde{{{{{{{{\bfu}}}}}}}}}_N\) of \({{{{{{{{\bfQ}}}}}}}}_{{{{{{{{\mathcalG}}}}}}}}\) and Qphys. Figure 4e, g show that, as expected for heterogeneous combinatorial networks, \({\tilde{{{{{{{{\bfu}}}}}}}}}_N^{{{{{{{{\mathcalG}}}}}}}}\) is concentrated on the largest hub \(i_{{{{{{{{\mathcalG}}}}}}}}\) in the network, and the weight of the eigenvector decays exponentially as the geodesic distance from \(i_{{{{{{{{\mathcalG}}}}}}}}\) in \({{{{{{{\mathcalG}}}}}}}\). This means that, without taking physicality into account, the largest degree node is also the earliest spreader of diffusive dynamics. For the physical Laplacian Qphys we find a different picture: \({\tilde{{{{{{{{\bfu}}}}}}}}}_N^{{{{{{{{\rmphys}}}}}}}}\) is again concentrated on a single node iphys; this node, however, is not the largest hub. The leading eigenvector instead is centered on a node that balances high degree and low volume: node iphys is the 159th largest degree node and is at the top 15 percentile of the volume distribution. In fact, node iphys is the node that maximizes the degree-volume ratio, i.e., iphys = argmaxiki/vi. This means that degree-volume correlations not only slow down spreading dynamics in physical networks, but also change the identity of the early spreaders.

Here we chose to focus on the fruit fly brain network as it represents one of the largest and most detailed maps of physical networks available; however, our framework is not specific to neural networks. In the Sec. S2 of the Supplementary Information, we analyze four additional real systems: a network describing the cavities of a porous material, a neural network of a nematode, a river network, and a vascular network. In each case, we find positive degree-volume correlations and that these correlations suppress the tail of the Laplacian spectra. The fact that the physical and network properties of nodes become intertwined in such a diverse set of real networks, and also in the simplest models, indicates a general mechanism behind the emergence of degree-volume correlations that do not depend on the details of the individual networks.

link